next up previous
Next: One-body kinematics Up: No Title Previous: No Title

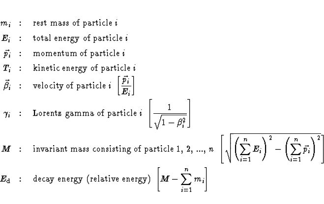
Notation



\begin{eqnarray*}m_i &:& \mbox{ rest mass of particle } i \\
E_i &:& \mbox{ to...
...energy (relative energy) }
\left[ M - \sum _{i=1}^n m_i \right]
\end{eqnarray*}


All the calculations use the unit of c=1



Susumu Shimoura
1999-12-27