next up previous
Next: Two-body kinematics Up: No Title Previous: Notation

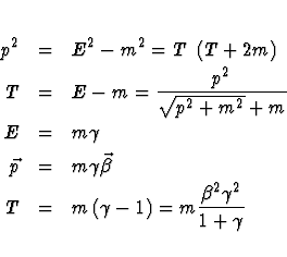
One-body kinematics



\begin{eqnarray*}p^2 &=& E^2 - m^2
= T ~ \left( T + 2 m \right)\\
T &=& E - ...
... \gamma - 1 \right)
= m \frac{\beta ^2 \gamma ^2}{1 + \gamma }
\end{eqnarray*}




Susumu Shimoura
1999-12-27