next up previous
Next: About this document ... Up: Many-body case Previous: Many-body case

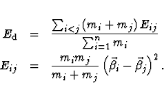
Example: Non relativistic limit

In this case, $T \rightarrow \frac{1}{2} m \beta^2 $, $\vec{p} \rightarrow m \vec{\beta}$, $\vec{p}/T \rightarrow 2\vec{\beta} /\beta^2$, and $F / \left( \sum _{i=1} ^n m_i \right)^2 \rightarrow 0 $, then

\begin{eqnarray*}E_{\rm d} &=& \frac{ \sum _{i<j} \left( m_i + m_j \right) E_{ij...
...{m_i + m_j}
\left( \vec{\beta} _i - \vec{\beta} _j \right) ^2 .
\end{eqnarray*}




Susumu Shimoura
1999-12-27