next up previous
Next: Example: Non relativistic limit Up: No Title Previous: Example 2: Photon emission

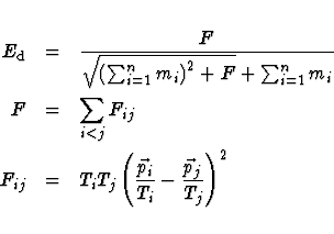
Many-body case



\begin{eqnarray*}E_{\rm d} &=& \frac{F}{\sqrt{\left( \sum _{i=1} ^n m_i \right) ...
...\left( \frac{\vec{p}_i}{T_i} -
\frac{\vec{p}_j}{T_j} \right) ^2
\end{eqnarray*}




 

Susumu Shimoura
1999-12-27