next up previous
Next: Example 1: Non relativistic Up: No Title Previous: One-body kinematics

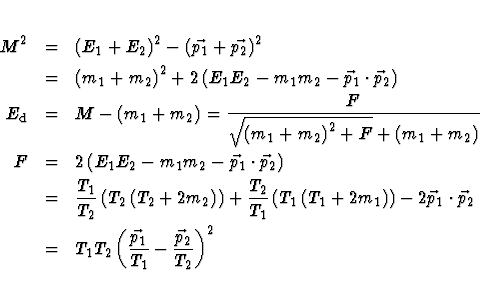
Two-body kinematics



\begin{eqnarray*}M^2 &=& \left( E_1 + E_2 \right) ^2 -
\left( \vec{p_1}+\vec{p...
...eft( \frac{\vec{p}_1}{T_1} -
\frac{\vec{p}_2}{T_2} \right) ^2
\end{eqnarray*}




 

Susumu Shimoura
1999-12-27