next up previous
Next: Many-body case Up: Two-body kinematics Previous: Example 1: Non relativistic

Example 2: Photon emission

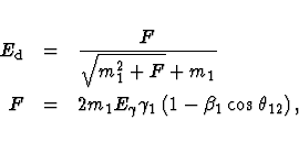
If the particle 2 is photon, $T_2 = p_2 = E_2 = E_{\gamma }$, then

\begin{eqnarray*}E_{\rm d} &=& \frac{F}{\sqrt{m_1^2 + F} + m_1} \\
F &=& 2 m_1...
...a } \gamma _1
\left( 1 - \beta _1 \cos \theta _{12} \right) ,
\end{eqnarray*}


where the recoil effect by emitting photon is included. If one neglect this, i.e. $F/m_1^2 \rightarrow 0$,

\begin{eqnarray*}E_{\rm d} &\rightarrow & E_{\gamma } \gamma _1
\left( 1 - \beta _1 \cos \theta _{12} \right) ,
\end{eqnarray*}


which is well-known formula for the Doppler shift.



Susumu Shimoura
1999-12-27